The Dictionary Of Photography

A True Historic Record Of The Art & Practice Of Photography 100 Years Ago.

Home | About | Photography | Contact






Diaphragms
marking of the diaphragms on a system which takes as its unit The diaphragms, numbered on this system, would then be as follows: -
It will be seen from this that the system is practically a modifi-cation of Stolze's. Zeiss, the famous Jena optician, has adopted yet another system, which takes as its unitas suggested
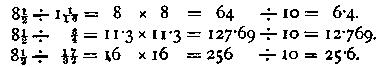
by Dr. Rudolph, and the actual working aperture of the lenses is taken as the diaphragm aperture. The following table gives, therefore, the connexion between the relative or ratio aperture and the stops : -
The photographic exposure corresponding, for all practical pur-poses, to the different stops, is, therefore, in the inverse ratio of those numbers. Goerz, the optician of Berlin-Schoneberg, has adopted yet another system of marking the diaphragms ; this is the relative time of exposure (f) calculated from the formula
bered differently. The following table shows thenumber
for each diaphragm, as marked by Goerz: -
209